1、A题 《Tokitsukaze and a+b=n (easy)》
题目描述:
easy 与 medium 的唯一区别是输入的数据范围。
有一个整数 , 以及 个区间 , 。
她想知道有多少种选法,满足:从第一个区间选择一个整数 ,从第二个区间选择一个整数 ,使得 。
对于两种选法,若 , 中有任意一个数不同,则算作不同的选法。
输入描述:
第一行包含一个整数 ,表示测试数据组数。
对于每组测试数据:
第一行包含一个整数 。
第二行包含两个整数 。
第三行包含两个整数 。
输出描述:
对于每组测试数据,输出一个整数表示答案。
示例1
输入:
4
5
3 5
1 4
100000
1 100000
1 100000
200000
1 100000
1 100000
114
514 1919
8 10
输出:
2
99999
1
0
说明:
第一组测试数据:共有 种选法,分别是 , 。
本题虽然是个签到题,但是赛时做的方法不够简单,这里记录一下比较好的做法,没必要用hash。
AC代码
#include <bits/stdc++.h>
using namespace std;
int n;
int ans;
int main(){
int T;
scanf("%d", &T);
while(T -- ){
scanf("%d", &n);
int l1, r1, l2, r2;
scanf("%d%d%d%d", &l1, &r1, &l2, &r2);
ans = 0;
for(int i = l1; i <= r1; i++){
int x = n - i;
//直接判断在不在区间中即可,这样就省去了一维
if(x >= l2 && x <= r2) ans++;
}
printf("%d\n", ans);
}
return 0;
}
2、B题 《Tokitsukaze and a+b=n (medium)》
本题与题的区别是区间范围扩大到了
比赛时的做法是根据两个区间二分来做,对于一个区间二分查找一个 能够满足在另一个区间中存在 使得 , 也通过二分在另一个区间中进行查找,注意因为是连续区间,所以没有重复的数。
如果找到了这样的, ,那么令 , 就也是一对满足条件的数,同理 , 也是。
该算法的时间复杂度为

所以
注意对于边界情况也特殊讨论一下,赛中临时魔改了一下二分,竟然真的过了。。。
关键就是,当二分指针移出最左边以及移出最右边时都是不存在的情况。
AC代码:
#include <bits/stdc++.h>
using namespace std;
typedef long long LL;
int n;
LL l1, r1, l2, r2;
LL ans;
LL y;
int check(LL x){
y = n - x;
LL l = l2 - 1, r = r2 + 1;
while(l < r){
LL mid = l + r >> 1;
if(mid >= y) r = mid;
else l = mid + 1;
}
if(l == y) return 1;
else if(l == l2 - 1) return 2;
else if(l == r2 + 1) return 3;
return 0;
}
int main(){
int T;
scanf("%d", &T);
while(T -- ){
scanf("%d", &n);
scanf("%lld%lld%lld%lld", &l1, &r1, &l2, &r2);
LL l = l1 - 1, r = r1 + 1;
while(l < r){
LL mid = l + r >> 1;
int z = check(mid);
if(z == 1) {
l = mid;
break;
}
else if(z == 2) r = mid - 1;
else if(z == 3) l = mid + 1;
}
ans = 0;
if(l == l1 - 1 || l == r1 + 1) ans = 0;
else{
ans += min(l - l1 + 1, r2 - y + 1);
ans += min(r1 -l + 1, y - l2 + 1);
}
printf("%lld\n", max(1LL* 0, ans - 1));
}
return 0;
}
更好的做法:推公式法
根据 的取值范围 ,我们求出能满足 的 的范围是 ,但是合法的 的范围是。所以答案是区间 与 取交后的区间长度。
区间取交的区间长度可以这么计算:
两个区间 , 相交后的结果为:;
两个区间 ,取交的区间长度为: ;
注意 可能是负的,表示两个区间没有交集,因此最终答案要和 取 。
AC代码:
#include <bits/stdc++.h>
using namespace std;
int n;
int l1, r1, l2, r2;
int ans;
int main(){
int T;
scanf("%d", &T);
while(T -- ){
scanf("%d", &n);
scanf("%d%d%d%d", &l1, &r1, &l2, &r2);
int a = n - r1, b = n - l1;
int c = l2, d = r2;
printf("%d\n", max(0, min(b, d) - max(a, c) + 1));
}
return 0;
}
3、C题 《Tokitsukaze and a+b=n (hard)》
题目描述
有一个整数 , 以及 个区间 。
她想知道有多少种选法,满足:从 个区间中选择两个区间 , ,并从第一个区间选择一个整数 ,从第二个区间选择一个整数 ,使得 。
对于两种选法,若 , , , 中有任意一个数不同,则算作不同的选法。
由于答案可能很大,请输出对 取模后的结果。
输入描述
第一行包含两个整数 。
接下来 行,每行包含两个整数 。
输出描述
输出一个整数表示答案对 取模后的结果。
示例
输入:
5 3
1 3
2 4
3 5
输出:
12
分析

时间复杂度
本题还可以使用树状数组 线段树等数据结构进行区间求和。
AC代码
差分版本
#include <bits/stdc++.h>
using namespace std;
typedef long long LL;
const int N = 4e5 + 10, mod = 998244353;
LL c[N];
LL tot, cnt1;
int n, m;
int main(){
scanf("%d%d", &n, &m);
//计算差分
for(int i = 0; i < m; i++){
int l, r;
scanf("%d%d", &l, &r);
c[l]++, c[r + 1]--;
cnt1 = (cnt1 + max(0, min(n - l, r) - max(n - r, l) + 1)) % mod;
}
for(int i = 1; i <= n; i++) c[i] = (c[i] + c[i - 1]) % mod;
for(int i = 1; i <= n ; i++){
tot = (tot + c[i] * c[n - i] % mod) % mod;
}
printf("%lld\n", (tot - cnt1 + mod) % mod);
return 0;
}
树状数组版本
#include <bits/stdc++.h>
using namespace std;
typedef long long LL;
const int N = 4e5 + 10, mod = 998244353;
LL tr[N];
LL tot, cnt1;
int n, m;
int lowbit(int x){
return x & -x;
}
void add(int x, int c){
for(int i = x; i <= n; i += lowbit(i)){
tr[i] += c;
}
}
LL query(int x){
LL ans = 0;
for(int i = x; i; i -= lowbit(i)){
ans += tr[i];
}
return ans;
}
int main(){
scanf("%d%d", &n, &m);
for(int i = 0; i < m; i++){
int l, r;
scanf("%d%d", &l, &r);
add(l, 1), add(r + 1, -1);
cnt1 = (cnt1 + max(0, min(n - l, r) - max(n - r, l) + 1)) % mod;
}
for(int i = 1; i <= n ; i++){
tot = (tot + query(i) * query(n - i) % mod) % mod;
}
printf("%lld\n", (tot - cnt1 + mod) % mod);
return 0;
}
线段树版本
#include <bits/stdc++.h>
using namespace std;
typedef long long LL;
const int N = 4e5 + 10, mod = 998244353;
LL tot, cnt1;
int n, m;
struct Node{
int l, r;
LL sum;
}tr[N * 4];
void pushup(int u){
tr[u].sum = tr[u << 1].sum + tr[u << 1 | 1].sum;
}
void build(int u, int l, int r){
tr[u] = {l, r, 0};
if(l == r) return;
int mid = l + r >> 1;
build(u << 1, l, mid);
build(u << 1 | 1, mid + 1, r);
}
void modify(int u, int x, int c){
if(tr[u].l == x && tr[u].r == x) tr[u].sum += c;
else{
int mid = tr[u].l + tr[u].r >> 1;
if(x <= mid) modify(u << 1, x, c);
else modify(u << 1 | 1, x, c);
pushup(u);
}
}
LL query(int u, int l, int r){
if(tr[u].l >= l && tr[u].r <= r) return tr[u].sum;
else{
LL ans = 0;
int mid = tr[u].l + tr[u].r >> 1;
if(l <= mid) ans = (ans + query(u << 1, l, r)) % mod;
if(r > mid) ans = (ans + query(u << 1 | 1, l, r)) % mod;
return ans;
}
}
int main(){
scanf("%d%d", &n, &m);
build(1, 1, 200010); //注意这里要开到大于2e5, 否则会溢出
for(int i = 0; i < m; i++){
int l, r;
scanf("%d%d", &l, &r);
modify(1, l, 1), modify(1, r + 1, -1);
cnt1 = (cnt1 + max(0, min(n - l, r) - max(n - r, l) + 1)) % mod;
}
for(int i = 1; i <= n; i++){
tot = (tot + query(1, 1, i) * query(1, 1, n - i) % mod) % mod;
}
printf("%lld\n", (tot - cnt1 + mod) % mod);
return 0;
}
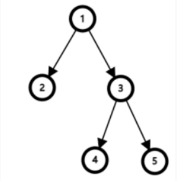
4、D题 《Tokitsukaze and Energy Tree》
题目描述
有 个节点的有根能量树,根为 。最开始,树上每个节点的能量都是 。
现在 有 个能量球,第 个能量球拥有 能量。她想把这 个能量球分别放置在能量树的每个节点上,使能量树的每个节点都恰好有一个能量球。
每次只能放置一个能量球,所以她将进行 次操作。每一次操作,她会选择一个能量球,再选择一个没有能量球的能量树节点 ,把刚刚选择的能量球放置在节点 上。在这之后, 能获得以 为根的子树中的所有能量球的能量 (包括节点 的能量球能量)。
在放置完所有能量球后, 可能获得的总能量最多是多少?
输入描述:
第一行包含一个整数 。
第二行包含 个整数 ,表示节点 的父亲是 。
第三行包含 个整数 ,分别表示能量球的能量。
输出描述:
输出一个整数,表示 可能获得的最多总能量。
示例1

输入:
5
1 1 3 3
1 1 2 2 3
输出:
22
分析
经典结论: 两个向量内部允许任意重排,则点积最大方法为都升序排序。
可以发现当第 个能量球放置在节点 时,它的贡献为:节点 到节点 的高度 。能量球的能量 。于是我们可以贪心来算,求出高度 后,分别对高度 和能量 排序,之后大的乘大的,再全部加起来即可。
求树中每个结点的高度(深度)可以用
AC代码
#include <bits/stdc++.h>
using namespace std;
typedef long long LL;
const int N = 2e5 + 10, M = 2 * N;
int h[N], e[M], ne[M], idx;
int dep[N], v[N];
int n;
void add(int a, int b){
e[idx] = b, ne[idx] = h[a], h[a] = idx++;
}
//计算树中每个结点的深度, 记根结点深度为 1
void dfs(int u, int d){
dep[u] = d;
for(int i = h[u]; ~i; i = ne[i]){
int j = e[i];
dfs(j, d + 1);
}
}
int main(){
scanf("%d", &n);
memset(h, -1, sizeof h);
for(int i = 2; i <= n; i++){
int p;
scanf("%d", &p);
add(p, i);
}
for(int i = 1; i <= n; i++) scanf("%d", &v[i]);
dfs(1, 1);
sort(dep + 1, dep + 1 + n);
sort(v + 1, v + 1 + n);
LL ans = 0;
for(int i = 1; i <= n; i++) ans += 1LL* dep[i] * v[i];
printf("%lld\n", ans);
return 0;
}
5、F题《Tokitsukaze and Gold Coins (easy)》
题目描述
easy 与 hard 的唯一区别是输出内容。
喜欢 系列。
在游戏中有一个 的迷宫,迷宫的起点是 ,迷宫的终点是 ,每个格子都有一条向下和一条向右的单向道路,也就是说如果你当前站在 ,你只能前往 或者 。
在迷宫的起点设有离开迷宫的出口,玩家可以通过出口安全的离开迷宫。
在迷宫的终点处设有一个传送门,玩家通过传送门回到迷宫的起点,玩家可以选择继续探索迷宫,也可以选择从迷宫入口退出迷宫。作为探索迷宫的奖励,在这个迷宫中除了迷宫起点 ,每个格子都存在 金币,但某些格子存在守护金币的怪物,若玩家被怪物打败,玩家会被强制结束探索,接着被送进医院并且会支付 金币的医疗费。请注意,玩家通过传送门多次探索迷宫,每个格子的金币也只能获取一次。
现在 正在迷宫的起点准备探索迷宫。她会拿走她经过的所有格子上的金币(如果金币存在)。但是她目前的战斗力打不过迷宫中的任何怪物,因此她不会进入存在怪物的格子。为了使探索收益最大化,她会多次探索迷宫,在不被怪物打死的情况下,获取尽可能多的收集金币。
注意到她只能在迷宫的起点处离开迷宫,一旦探索开始离开迷宫起点,直到下一次回到迷宫的起点处之前都不能离开迷宫。
根据游戏机制,迷宫会有 次变化。最开始迷宫中没有怪物,第 iii 次变化将会改变格子 的怪物状态。即若 中没有怪物,则怪物会出现,否则怪物会消失。保证起点和终点不会出现怪物。
将会在第 次变化之后进入迷宫,她想知道她能获得的金币数量最大是多少。
输入描述
第一行包含一个正整数 ,表示测试数据的组数。
对于每组测试数据:
第一行包含两个正整数 ,表示迷宫的大小是 ,变化的次数为 次。
接下来 行,每行两个正整数 ,若 中没有怪物,则怪物出现,否则怪物消失。保证没有 与 或者 相同。
保证 和 都不超过 。
输出描述
对于每组数据,输出一个整数,表示 在第 次变化之后进入迷宫,能获得的金币最大数量。
示例
输入:
1
5 5
3 2
4 2
5 1
4 3
4 2
输出:
6
说明
样例 解释:
在第一次变化后, 出现了怪物, 可以最少通过 次探索来获取最多的金币(路线不唯一,仅供参考):
• 第一次走红色路线,分别获取在 格子中的总共 个金币。
• 第二次走绿色路线,分别获取在 格子中的总共 个金币。
• 第三次走蓝色路线,分别获取在 格子中的总共 个金币。
• 第四次走橙色路线,分别获取在 格子中的总共 个金币。
当然, 可以继续探索迷宫,不过无法获取更多的金币。所以 总共获取了 个金币。下图中灰色格子代表该格子的金币已经被拿走。

同理,在第二次变化后,出现了怪物, 最多可以获取 个金币,路线如下图所示。

在第三次变化后, 出现了怪物, 最多可以获取 个金币,路线如下图所示。

在第四次变化后, 出现了怪物,若 出发探索迷宫,她必定会被怪物打败,并且被送进医院然后付出高额的医疗费,所以直接退出迷宫的收益最大,因此答案是 。

在第五次变化后,在 的怪物消失了, 最多可以获取 个金币,路线如下图所示。

由于这是 easy 版本,只需要输出在第五次变化后的答案即可。
示例2
输入:
3
3 4
2 2
1 3
1 3
2 2
1 2
1 2
1 2
3 2
2 3
3 2
输出:
8
2
0
分析
显然,走进怪物格子一定不是最优解,所以我们把有怪物的格子当成障碍物来看。所以题目转化为:求到 的所有路径能覆盖的格子数量。
我们可以通过两次 来搜索答案:
1、从起点 开始,向下/右走,标记所有能到达的格子。
2、从终点 开始,向上/左走,标记所有能到达的格子。
注意本题数据较大,有一些需要注意的地方见代码,否则容易 。
AC代码
dfs版本
#include <bits/stdc++.h>
using namespace std;
typedef pair<int, int> PII;
const int N = 5e5 + 10;
int g[N][4];
int d1[N][4], d2[N][4];
int n, k;
int dx1[] = {1, 0}, dy1[] = {0, 1};
int dx2[] = {-1, 0}, dy2[] = {0, -1};
int ans;
void dfs1(int x, int y){
d1[x][y] = 1;
for(int i = 0; i < 2; i++){
int a = x + dx1[i], b = y + dy1[i];
if(!a || a > n || !b || b > 3 || g[a][b] || d1[a][b]) continue;
dfs1(a, b);
}
}
void dfs2(int x, int y){
d2[x][y] = 1;
for(int i = 0; i < 2; i++){
int a = x + dx2[i], b = y + dy2[i];
if(!a || a > n || !b || b > 3 || g[a][b] || d2[a][b]) continue;
dfs2(a, b);
}
}
int main(){
int T;
scanf("%d", &T);
while(T -- ){
//数据量太大,不能memset,否则会TLE
// memset(g, 0, sizeof g);
// memset(d1, 0, sizeof d1);
// memset(d2, 0, sizeof d2);
for(int i = 1; i <= n; i++){
for(int j = 1; j <= 3; j++){
d1[i][j] = d2[i][j] = g[i][j] = 0;
}
}
scanf("%d%d", &n, &k);
while(k -- ){
int x, y;
scanf("%d%d", &x, &y);
g[x][y] = 1 - g[x][y];
}
dfs1(1, 1);
dfs2(n, 3);
ans = 0;
for(int i = 1; i <= n; i++){
for(int j = 1; j <= 3; j++){
if(d1[i][j] && d2[i][j] && i + j != 2) ans++;
}
}
printf("%d\n", ans);
}
return 0;
}
bfs版本
#include <bits/stdc++.h>
using namespace std;
typedef pair<int, int> PII;
const int N = 5e5 + 10;
int g[N][4];
int d1[N][4], d2[N][4];
int n, k;
int dx1[] = {1, 0}, dy1[] = {0, 1};
int dx2[] = {-1, 0}, dy2[] = {0, -1};
int ans;
PII q[N * 3];
int hh, tt;
void bfs(){
hh = 0, tt = -1;
q[++tt] = {1, 1};
d1[1][1] = 1;
while(hh <= tt){
auto t = q[hh++];
int x = t.first, y = t.second;
for(int i = 0; i < 2; i++){
int a = x + dx1[i], b = y + dy1[i];
if(a > n || b > 3 || g[a][b] || d1[a][b]) continue;
d1[a][b] = 1;
q[++tt] = {a, b};
}
}
hh = 0, tt = -1;
q[++tt] = {n, 3};
d2[n][3] = 1;
while(hh <= tt){
auto t = q[hh++];
int x = t.first, y = t.second;
for(int i = 0; i < 2; i++){
int a = x + dx2[i], b= y + dy2[i];
if(a <= 0 || b <= 0 || g[a][b] || d2[a][b]) continue;
d2[a][b] = 1;
q[++tt] = {a, b};
}
}
}
int main(){
int T;
scanf("%d", &T);
while(T -- ){
//数据量太大,不能memset,否则会TLE
// memset(g, 0, sizeof g);
// memset(d1, 0, sizeof d1);
// memset(d2, 0, sizeof d2);
for(int i = 1; i <= n; i++){
for(int j = 1; j <= 3; j++){
d1[i][j] = d2[i][j] = g[i][j] = 0;
}
}
scanf("%d%d", &n, &k);
while(k -- ){
int x, y;
scanf("%d%d", &x, &y);
g[x][y] = 1 - g[x][y];
}
bfs();
ans = 0;
for(int i = 1; i <= n; i++){
for(int j = 1; j <= 3; j++){
if(d1[i][j] && d2[i][j] && i + j != 2) ans++;
}
}
printf("%d\n", ans);
}
return 0;
}
6、H题 《Tokitsukaze and K-Sequence》
题目描述:
有一个长度为 的序列 ,她想把这个序列划分成 个非空子序列。定义序列的值为这个序列中只出现一次的数字的个数。
对于 , 想知道把序列 划分成 个非空子序列后,所有子序列的值的和最大是多少。
请注意,子序列不一定是连续的。
输入描述:
第一行包含一个正整数 ,表示测试数据的组数。
对于每组测试数据:
第一行包含一个整数 。
第二行包含 个整数 。
输出描述:
对于每组数据,输出 个整数,第 个整数表示 时的答案。
示例1
输入:
1
3
2 2 1
输出:
1
3
3
说明
样例解释:
当 时, 只能划分成 ,即 。其中只有 个数字只出现了一次,所以答案是 。
当 时, 可以划分成 , ,即 和 。中有 个数字只出现了一次,中有 个数字只出现了一次,所以答案是 。
当 时, 只能划分成 , , ,即 , , 。所以答案是 。
示例2
输入:
2
10
1 2 3 4 2 3 2 4 2 1
1
5
输出:
0
7
8
10
10
10
10
10
10
10
1
分析
本题属于经典思维题:单独考虑算贡献(这类思维太秀了,建议反复鞭打自己看熟!!)
赛时看了一眼以为是,没做出来。。。
可以发现每种数字的贡献可以分开计算。我们按照每种数字出现的次数进行讨论。假设数字 出现的次数为
- 如果 ,我们可以贪心地将每个 都分到某个子序列中,使得每个子序列要么只包含 个 ,要么不包含。所以此时数字 的贡献为 。
- 如果 ,我们按照上面的方法分配完 个 ,多出来的 必须分配到某个子序列中,导致那个子序列中,数字 没有贡献。所以此时数字 的贡献为 。
答案就是每种数字的贡献求和。
现在题目求 的答案。如果直接暴力统计 次,会 , 那么如何做呢?
其实可以发现对于每个 的 我们只要找到其 的分界点就可以了
我们对 从小到大排序,枚举 ,答案为 的 求和,加上 的 $cnt_x (k - 1)$。
时间复杂度
具体实现,我们可以用multiset维护所有大于当前 的 (multiset 会从小到大排序),随着 的变大,某些容器头部的 会变成小于等于 , 此时它们的贡献就会发生变化,即从 变成 ,这个部分用一个变量累加来维护,另一部分则是当前multiset容器中的数量乘上当前的 ,同时这个 对应的 应当从multiset中移除(因为multiset维护的是大于 的 ),两者之和就是当前 对应的最大的贡献和。
AC代码
#include <bits/stdc++.h>
using namespace std;
typedef long long LL;
const int N = 100010;
multiset<int> ms;
int n;
int a[N], cnt[N];
int main(){
int T;
scanf("%d", &T);
while(T -- ){
ms.clear();
memset(cnt, 0, sizeof cnt);
scanf("%d", &n);
for(int i = 1; i <= n; i++){
scanf("%d", &a[i]);
cnt[a[i]]++;
}
for(int i = 1; i <= N - 1; i++) ms.insert(cnt[i]);
LL lesum = 0, ge = ms.size();
for(int k = 1; k <= n; k++){
while(!ms.empty() && *ms.begin() <= k){
lesum += *ms.begin();
ms.erase(ms.begin());
ge--;
}
printf("%lld\n", lesum + ge * (k - 1));
}
}
return 0;
}
7、J题 《Tokitsukaze and Sum of MxAb》
题目描述
最近对最大值与绝对值有了兴趣。
她有一个长度为 的序列 。
定义
想知道对于所有的 , 的和为多少。
即求下列式子
输入描述
第一行包含一个整数 ,表示 组测试数据。
对于每组测试数据:
第一行包含一个整数 。
第二行包含 个整数 。
输出描述
对于每组测试数据,输出一个整数表示答案。
示例1
输入:
2
1
1
2
1 -2
输出:
2
12
说明
样例1解释:
第一组测试数据:
第二组测试数据:
所以总和为
分析
看到带有绝对值的式子,一般先展开绝对值。我们对 和 的正负进行讨论:
原式相当于两重循环统计,因此每个数都会被计算 次。
AC代码
#include <bits/stdc++.h>
using namespace std;
typedef long long LL;
int n;
LL ans;
int main(){
int T;
scanf("%d", &T);
while(T -- ){
scanf("%d", &n);
ans = 0;
for(int i = 1; i <= n; i++){
int x;
scanf("%d", &x);
ans += 2LL * n * abs(x);
}
printf("%lld\n", ans);
}
return 0;
}
8、L题 《Tokitsukaze and Three Integers》
题目描述
有一个长度为 的序列 和一个正整数 。
对于所有 , 想知道三元组 的数量,满足:
输入描述
第一行包含两个整数 。
第二行包含 个整数 。
输出描述
输出一行 个整数,第 个整数表示 时的答案 。
示例
输入:
3 3
1 2 3
输出:
0 2 4
说明
样例 解释:
当 时,没有满足条件的三元组;
当 时,满足条件的三元组为;;
当 时,满足条件的三元组为;。
示例2
输入:
5 10
1 2 4 5 8
输出:
6 8 8 8 6 0 6 8 4 6
分析
本题暴力计算需要 枚举然后统计会超时,那么如何降低到 呢,可以用预处理。
用容斥思想来做:
表示 的个数,可以在 的时间复杂度内计算出来。接下来枚举 ,计算 。满足 ,时间复杂度为 。
但这样会把 或者 的情况计算进答案,我们需要把这部分减掉。枚举 的情况,减去 。满足, 的情况同理。时间复杂度为 。
总时间复杂度为。
因此一共预处理两个数组:
其中 代表 a[i] * a[j] % p = v 的 数对的数量。
其中 代表两项乘积中其中一项等于第 项并且 a[i] * a[j] % p = v 的数量。
AC代码
#include <bits/stdc++.h>
using namespace std;
typedef long long LL;
const int N = 5010;
int c[N], d[N][N];
int a[N];
int n, p;
int main(){
scanf("%d%d", &n, &p);
for(int i = 1; i <= n; i++) {
scanf("%d", &a[i]);
a[i] %= p;
}
//预处理
for(int i = 1; i <= n; i++){
for(int j = 1; j <= n; j++){
if(i == j) continue;
c[a[i] * a[j] % p]++;
d[i][a[i] * a[j] % p] += 2;
}
}
for(int x = 0; x <= p - 1; x++){
LL ans = 0;
for(int k = 1; k <= n; k++){
int v = (x - a[k] + p) % p;
ans += c[v] - d[k][v];
}
printf("%lld ", ans);
}
puts("");
return 0;
}
未完待续。。。(别问我为什么又是未完)